二次方程式(高中时期的罗博深是怎样的?)
大数据文摘出品
作者:陈若朦
敲黑板!文摘菌数学课堂开课啦!
——孩子老是记不住
一元二次方程的求根

大数据文摘出品
作者:陈若朦
敲黑板!文摘菌数学课堂开课啦!
——孩子老是记不住 一元二次方程的求根公式 怎么办?
——多半是太懒了,打一顿就好了。
二次方程可谓是人类在数学探索的伟大成就之一,它最早是在公元前2000年到1600年,被古巴比伦人提出用于解决赋税问题。在4000多年后的今天,二次方程被用来解决更多样更复杂的数学应用问题,数以百万计的人(尤其是学生)都努力把二次方程公式铭刻在他们的脑海中。
而近日,美国奥数总教头、卡耐基梅隆数学大学教授 罗博深(Po-Shen Loh) 公开表示,刚刚发现了一种最新的 “极简” 二次方程求根公式推导。
令人头秃的求根公式
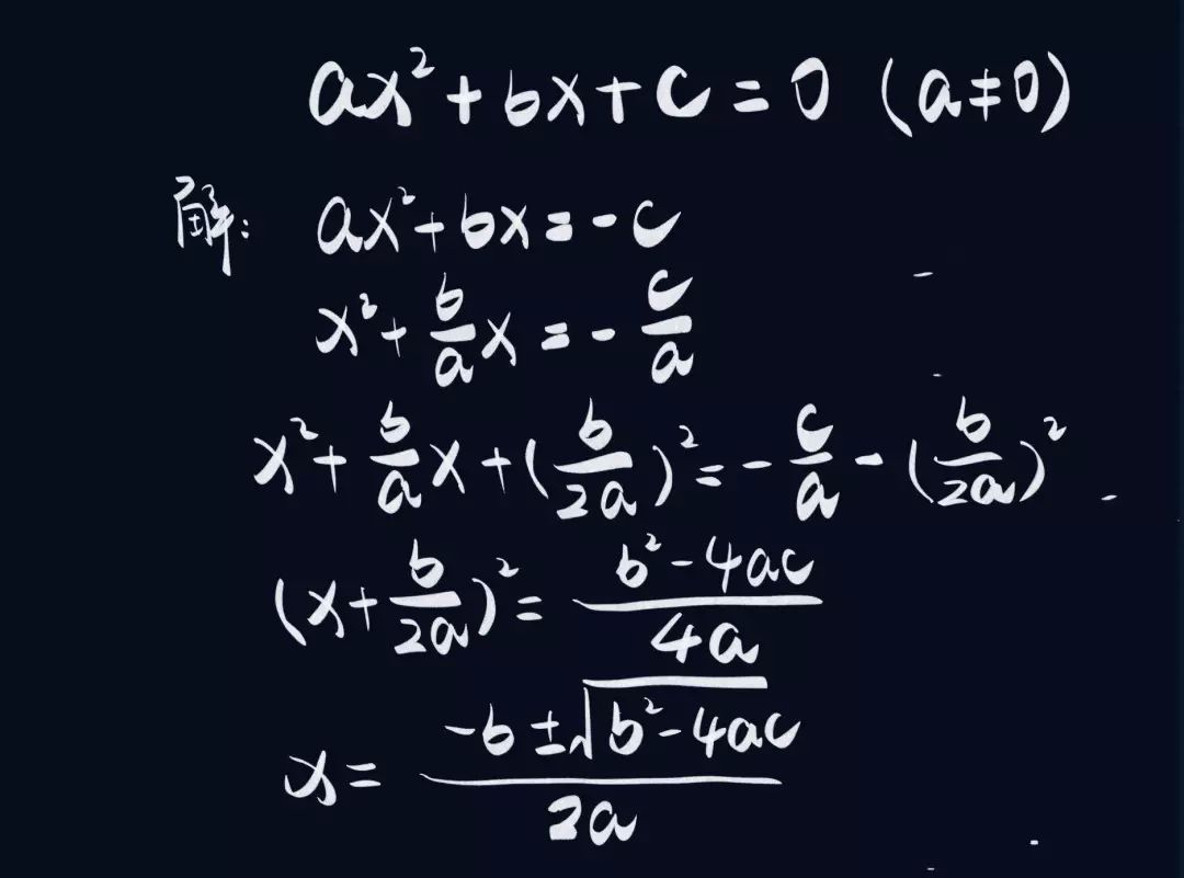
你是否曾经被这个求根公式困扰过呢?


这个复杂的、难以记忆的公式,是为了 求解二次方程ax²+bx+c=0 而推导出的。当你还是一个可可爱爱的初中生,解方程便开始纠缠你。你为了想起这个无敌复杂的公式而挠破头皮,最终你还不得不重新推导一遍——往常的教学方式通常利用 配方法 将公式推导出来。

配方法推导求根公式
数学家们花费了几个世纪尝试了无数方法来求解二次方程,其中大部分方法都十分复杂甚至是“反人类”。“配方法”则是目前普遍采用的较为简单易懂的推导,这种方式并非凭借直觉,而是靠 “补全平方” 来求解。
二次方程课题的提出已有4000多年的历史,因其求解公式的复杂性,这也曾成为几个世纪代数学生的噩梦。近日,华裔数学家罗博深发表一篇题为 《A Simple Proof of the Quadratic Formula》 的研究论文,其中提到的推导方法大大减轻了记忆负担,让二次方程的学习轻松起来。
So easy!妈妈再也不用担心我记不住求根公式
“新的推导过程有可能为全世界的学生揭开二次方程式的神秘面纱。”罗博深教授如此评价自己的方法。

新方法首先将二次方程进行因式分解,得到以下形式:

很容易可以看出,当x=R或S时,原方程等于0, 即方程的解为x=R或S。
将上式等号右边的分解式展开:

等式成立的情况下,可以得到:


从 -B=R+S 我们可以得出 R和S的平均值为-B/2 ——这正是罗教授的推导方法中最巧妙的一步——不妨设方程的两个根为:

将这两个值代入 R·S=C 中,我们可以得到以下结果:

我们轻而易举地可以解出上式中唯一未知数z的值:

于是二次方程的解则为:

以上就是二次方程求解的新推导方法全过程。该方法同样适用于更普遍的二次方程形式—— Ax²+Bx+C=0 ,只需将等式除以A将二次系数化为1即可。
论文链接:
https://arxiv.org/pdf/1910.06709.pdf

尽管新方法得出的公式看上去依旧很复杂,甚至与原公式不分上下,但事实上在求解过程中罗教授的方法更简单、更直观,他弱化了对公式的记忆——就算不记公式也能轻松得到答案。
以求解方程 x²-2x+4=0 为例,传统的解题思路是找出式中对应于a,b,c的系数,将各数代入那个复杂的公式中。但是罗教授的方法则是先 令方程的两根x=-B/2±z ,在该方程中即得x=1±z。接下来由两根之积等于C可以得到:

罗博深教授表示:“如果这种方法直到今天都没有被人类发现的话,我会感到非常惊讶,因为这个课题已经有4000年的历史了,而且有数十亿人都遇到过这个公式和它的证明。然而,这项方法并没有被广泛传授或了解。”
罗教授在提出他的研究论文前,确认了在数学史上并没有类似的方法被提出。尽管这是一个简单的代数问题,而且在几个世纪前就被知晓,但研究了古巴比伦人、中国人、希腊人、印度人、阿拉伯人以及从文艺复兴到今天的现代数学家开发的方法,罗教授发现没有人迈出这一步。
二次方程中的“旧知识”和“新逻辑”

罗博深推导讲解视频:
http://t.cn/AieYwqqf?m=4447545264458876&u=1657470871
罗教授在Twitter上放出相关推导视频后,引起了网友们的纷纷议论。一些网友对于新方法所带来的简化过程感到欣喜,也有老师表示将在自己的课堂上采用这种方法教学。

另外也有人指出所谓的新方法耍了小聪明——这不过是 “韦达定理”(Vi`ete’s relations) 的变形,通过对两根之和以及两根之积的运用使得到另一种表达形式的求根公式,根本不能算作一种新解法。
与之相类似的方法,还有 “pq-formula” 。这是一种目前在欧洲一些国家的中学代数课程中流行的求根方法,其中的公式与罗博深提出的相同,欧洲老师还为公式编了歌谣以帮助学生记忆学习。

尽管在业内引起了一些话题,但罗博深针对二次方程求根的新推导过程并不算什么了不起的学术突破,他自己也在论文中提到, “新推导”的主要内容是存在了几百年的韦达定理 ,而他推出这种推导方法的目的,是 让二次函数的初学者更容易接受相关内容。
据现在的代数课程设置,学生了解二次方程的基础是多项式相乘和约分。对于初学者来说,将两根之和的平均数作为参数,在其基础上引入未知量,会是一种具有更直观的数学意义的技巧。
这种方法也强化了二次方程都具有两个根的概念,可以简化推导过程,加深对韦达定理的理解。他认为,学习数学并不是记忆公式而是在于运用。他的方法使学生只需记住一些关于根的简单归纳,即可最终找到方程的解。
罗教授也正在系统地研究中学数学的其他章节课程,企图用更简单的语言创造合理的解释。
华裔数学家、奥数总教头罗博深
这一似乎不那么重要的求解之所以引起如此大的轰动,也是由于论文作者罗博深在数学界无可撼动的地位。 罗博深 是一位是一位华裔数学家,是美国卡耐基梅隆大学的教授、美国国际奥数队的总教练。作为数学教育的爱好者和布道者,他创立了 开放教育资源网站Expii ,用户可以在上面提问、作答、讨论关于数学和科学的任何问题。
罗博深于高中时参加美国奥数比赛并取得了优异成绩,由此入选了1990年的美国国家奥数队。在那时队伍中各国教练和领队给他带来了不同的数学文化,对罗博深形成数学论证和逻辑方法起到了至关重要的作用。
除了数学,高中时期的罗博深便开始研究计算机编程和算法,而他目前所专注的研究方向——组合,也涉及到数学与计算机的交互应用。同时拥有数学和计算机背景, 罗博深未来希望通过人工智能使全世界更好地学习数学。

罗博深曾分享对于学习具有挑战性的数学内容的经验:“那些数学领域最优秀的人,绝不会从某一个老师、教练那里学习“做法”,然后不断练习。在数学中,经验和逻辑是最重要的。”
而且罗教授认为,对于那些在公校中学习领先的孩子, 上数学课不再是学习新的内容,而是要看老师如何教授“旧”的知识,以进一步培养自己的逻辑思考能力。
虽然中国、美国的奥数教育存在差异,但启发更多年龄段的学生热爱、挑战数学,是数学教育应有的目标。罗教授作为奥数队教练也总是 把培养兴趣放在培养能力前面, 他希望自己不止是培养奥数国家队的成员,而是让更多人觉得数学很有趣。他总是在现实生活中寻找能让人思考和深入学习数学的元素,并由此自创了数百道数学题,用于激发学生对数学的兴趣,培养变通能力、逻辑思维及对既有规则的思考。